Potencia asociada a un objeto que cae desde 5 m de altura

, por F_y_Q

¿Cuál sería la potencia asociada a un objeto de 1 kg que cae libremente desde una altura de 5 m? Considera que g = 10\ \textstyle{m\over s^2}.

P.-S.

La potencia es el cociente entre el trabajo y el tiempo. El trabajo será el que desarrolla el peso del objeto y es W_p = -\Delta E_P. La variación de la energía potencial es:
- \Delta E_P = mg(h_i - \cancelto{0}{h_f}) = 1\ kg\cdot 10\frac{m}{s^2}\cdot 5\ m = 50\ J
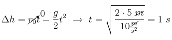
El tiempo que tarda en caer el objeto se obtiene por cinemática:
\Delta h = \cancelto{0}{v_0}t -\frac{g}{2}t^2\ \to\ t = \sqrt{\frac{2\cdot 5\ \cancel{m}}{10\frac{\cancel{m}}{s^2}}} = 1\ s
La potencia asociada es:

P = \frac{W_p}{t} = \frac{50\ J}{1\ s} = \bf 50\ W