Velocidad con la que llega al suelo una piedra que se deja caer

, por F_y_Q

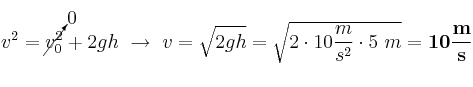
Una piedra se suelta desde una altura de 5 m del suelo. ¿Con qué rapidez impacta en el suelo? (Considera que g = 10\ m/s^2)

P.-S.

Como se trata de una caída libre (MRUA), la velocidad inicial será cero y la aceleración a la que está sometida la piedra es la aceleración de la gravedad.

v^2 = \cancelto{0}{v_0^2} + 2gh\ \to\ v = \sqrt{2gh} = \sqrt{2\cdot 10\frac{m}{s^2}\cdot 5\ m} = \bf 10\frac{m}{s}