Concepto de mol y masas atómica y molecular de un compuesto

, por F_y_Q

Se tienen 8\cdot 10^{21} átomos del compuesto BaSO_4, determina:

a) ¿Cuántas moléculas de compuesto hay?

b) ¿Cuántos gramos de azufre están contenidos?

c) ¿Cuántos moles de compuesto son?

d) ¿A cuántos gramos de compuesto equivalen?

P.-S.

a) Cada molécula contiene un total de seis átomos: 1 de Ba, 1 de S y 4 de O. Esa proporción es constante con lo que podemos dividir los átomos totales entre seis para saber cuántas moléculas representan:

8\cdot 10^{21}\ \acute{a}t\cdot \frac{1\ mol\acute{e}c}{6\ \acute{a}t} = \bf 1,33\ mol\acute{e}c


b) Cada molécula contiene un átomo de azufre, por lo que hay los mismos átomos de azufre que moléculas. A partir de la masa atómica del azufre:

1,33\cdot 10^{21}\ \cancel{mol\acute{e}c\ BaSO_4}\cdot \frac{1\ \cancel{\acute{a}t\ S}}{1\ \cancel{mol\acute{e}c\ BaSO_4}}\cdot \frac{32\ \cancel{u}}{1\ \cancel{\acute{a}t\ S}}\cdot \frac{1,66\cdot 10^{-24}\ g}{1\ \cancel{u}} = \bf 7\cdot 10^{-2}\ g

c) Usando el número de Avogadro podemos convertir las moléculas a moles:

1,33\cdot 10^{21}\ \cancel{mol\acute{e}c\ BaSO_4}\cdot \frac{1\ mol}{6,022\cdot 10^{23}\ \cancel{mol\acute{e}c\ BaSO_4}} = \bf 2,21\cdot 10^{-3}\ mol\ BaSO_4


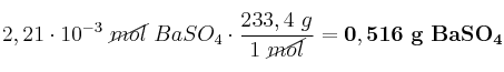
d) Si hacemos la masa molecular del compuesto obtenemos un valor de 233,4 g por mol:

2,21\cdot 10^{-3}\ \cancel{mol}\ BaSO_4}\cdot \frac{233,4\ g}{1\ \cancel{mol}} = \bf 0,516\ g\ BaSO_4