Presión total y presiones parciales de una mezcla de gases

, por F_y_Q

Si una mezcla de gases contiene 3 mol de CH_4 y 6 mol de H_2:

a) ¿Cuál es la presión parcial de cada gas si el volumen del recipiente es de 5 L a temperatura normal?

b) ¿Cuál es la presión total del sistema?

P.-S.

Si sumamos los moles de uno y otro gas tenemos que los moles gaseosos totales son n_T = 9\ mol.
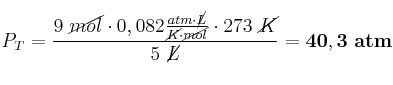
b) Calculamos en primer lugar la presión total del sistema:
P_T\cdot V = n_TRT\ \to\ P_T = \frac{n_T RT}{V}

P_T = \frac{9\ \cancel{mol}\cdot 0,082\frac{atm\cdot \cancel{L}}{\cancel{K}\cdot \cancel{mol}}\cdot 273\ \cancel{K}}{5\ \cancel{L}} = \bf 40,3\ atm


a) La presión parcial de un componente sigue la ecuación: P_i = x_i\cdot P_T. La fracción molar es el cociente entre los moles del componente elegido y los moles totales:

p_{CH_4} = \frac{3\ \cancel{mol}}{9\ \cancel{mol}}\cdot 40,3\ atm = \bf 13,4\ atm


La presión parcial del H_2 se puede obtener de manera análoga a la del CH_4 o simplemente por diferencia. Al ser dos componentes, la suma de sus presiones parciales tiene que ser igual a la presión total:

P_T = p_{CH_4} + p_{H_2}\ \to\ p_{H_2} = (40,3 - 13,4)\ atm = \bf 26,9\ atm