Peso en la Tierra y la Luna de un prisma de acero

, por F_y_Q

Un prisma macizo de acero tiene como dimensiones 3 cm x 2 cm x 1 cm. Calcula su masa y cuál será el peso del prisma en la Tierra y en la Luna.

Datos: \rho_{acero} = 7,85\ \textstyle{g\over cm^3} ; g_T = 9,8\ \textstyle{m\over s^2} ; g_L = 1,62\ \textstyle{m\over s^2}

P.-S.

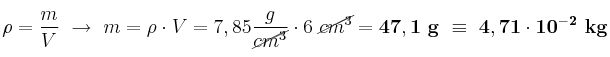
El primer lugar calculamos el volumen del prisma para poder determinar su masa por medio de la densidad:
V = (3\cdot 2\cdot 1)\ cm^3 = 6\ cm^3

\rho = \frac{m}{V}\ \to\ m = \rho\cdot V = 7,85\frac{g}{\cancel{cm^3}}\cdot 6\ \cancel{cm^3}} = \bf 47,1\ g\ \equiv\ 4,71\cdot 10^{-2}\ kg


El peso en la Tierra y en la Luna es el producto de la masa por el valor de la aceleración de la gravedad en cada cuerpo celeste:

p_T = m\cdot g_T = 4,71\cdot 10^{-2}\ kg\cdot 9,8\frac{m}{s^2} = \bf 0,46\ N


p_L = m\cdot g_T = 4,71\cdot 10^{-2}\ kg\cdot 1,62\frac{m}{s^2} = \bf 7,63\cdot 10^{-2}\ N