Masa de 400 centímetros cúbicos de cloro en condiciones normales

, por F_y_Q

¿Cuál es la masa de 400\ cm^3 de Cl_2 medidos en condiciones normales de presión y temperatura (CNPT)? Considera la masa atómica del cloro como 35,5.

P.-S.

Un mol de un gas ocupa, en CNPT, 22,4 L según la ley de Avogadro. A partir de esta definición del volumen molar podemos establecer los moles de cloro contenidos en el volumen dado y, a partir de ahí, la masa de gas.
400\ \cancel{cm^3}\cdot \frac{1\ \cancel{L}}{10^3\ \cm^3}}\cdot \frac{1\ mol}{22,4\ \cancel{L}} = 1,78\cdot 10^{-2}\ mol
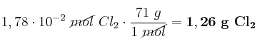
Ahora obtenemos la masa de gas a partir de la masa molecular del Cl_2:

1,78\cdot 10^{-2}\ \cancel{mol}\ Cl_2\cdot \frac{71\ g}{1\ \cancel{mol}} = \bf 1,26\ g\ Cl_2