Fuerza a aplicar para que un objeto reduzca a la mitad su velocidad

, por F_y_Q

Se pretende reducir a la mitad la velocidad de un cuerpo de 100 kg que circula a una velocidad de 72 km/h, en un intervalo de 5 s. Determina la fuerza que se debe aplicar.

P.-S.

Para hacer el cambio de unidad de la velocidad basta con dividir entre 3,6, de manera que la velocidad inicial del cuerpo equivale a 20 m/s.

Si tienes alguna duda de cómo hacer el cambio de unidades puedes VER este problema resuelto en el que se explica.

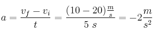
La aceleración que tiene que sufrir el cuerpo es:
a = \frac{v_f - v_i}{t} = \frac{(10 - 20)\frac{m}{s}}{5\ s} = -2\frac{m}{s^2}
La fuerza necesario se obtiene a partir de la segunda ley de la dinámica:

F = m\cdot a = 100\ kg\cdot \left(-2\frac{m}{s^2}\right) = \bf -200\ N

Es una fuerza negativa porque se opone al movimiento del objeto.