Análisis de un lanzamiento vertical hacia arriba (5334)

, por F_y_Q

Desde el suelo se lanza verticalmente y hacia arriba un cuerpo con una velocidad inicial de 50 m/s. Determina:

a) ¿Cuánto tarda en alcanzar su altura maxima?

b) ¿Cuál es el valor de la altura máxima alcanzada?

c) ¿Cuál es la velocidad cuando haya ascendido 80 m?

d) ¿Cuánto ha ascendido cuando hayan transcurrido 3 s de lanzamiento?

e) ¿Al cabo de cuánto tiempo estará el cuerpo 60 m por encima del suelo?

P.-S.

El enunciado del problema describe un lanzamiento vertical hacia arriba. Como la velocidad inicial y la aceleración de la gravedad tienen sentidos contrarios, tienes que considerar distinto signo para cada una. Si tomas la velocidad inicial como positiva, la aceleración de la gravedad será, por lo tanto, negativa.

a) Cuando el cuerpo alcance la altura máxima, su velocidad será cero:

\cancelto{0}{v} = v_0 - gt_s\ \to\ {\color[RGB]{2,112,20}{\bm{t_s = \frac{v_0}{g}}}} = \frac{50\ \frac{\cancel{m}}{\cancel{s}}}{9.8\ \frac{\cancel{m}}{s^{\cancel{2}}}} = \fbox{\color[RGB]{192,0,0}{\bf 5.1\ s}}


b) El valor de la altura máxima es:

\cancelto{0}{v^2} = v_0^2 -2gh_{m\acute{a}x}\ \to\ {\color[RGB]{2,112,20}{\bm{h_{m\acute{a}x} = \frac{v_0^2}{2g}}}} = \frac{50^2\ \frac{m^\cancel{2}}{\cancel{s^2}}}{19.6\ \frac{\cancel{m}}{\cancel{s^2}}}} = \fbox{\color[RGB]{192,0,0}{\bf 127.6\ m}}


c) Usando la misma ecuación del apartado anterior:

{\color[RGB]{2,112,20}{\bm{v = \sqrt{v_0^2 - 2gh}}}} = \sqrt{50^2\ \frac{m^2}{s^2} - 2\cdot 9.8\ \frac{m}{s^2}\cdot 80\ m} = \fbox{\color[RGB]{192,0,0}{\bm{30\ m\cdot s^{-1}}}}


d) A los 3 s del lanzamiento:

{\color[RGB]{2,112,20}{\bm{h = v_0t - \frac{1}{2}gt^2}}} = 50\ \frac{m}{\cancel{s}}\cdot 3\ \cancel{s} - 4.9\ \frac{m}{\cancel{s^2}}}\cdot 9\ \cancel{s^2} = \fbox{\color[RGB]{192,0,0}{\bf 105.9\ m}}


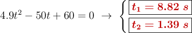
e) Usas la misma ecuación del apartado anterior y obtienes una ecuación de segundo grado que tienes que resolver:

h = v_0t - \frac{g}{2}t^2\ \to\ \color[RGB]{2,112,20}{\bm{h = 50t - 4.9t^2}}

La resolución de esta ecuación cuando la altura es de 60 m dará lugar a dos soluciones:

4.9t^2 - 50t + 60 = 0\ \to\ \left \{ {\fbox{\color[RGB]{192,0,0}{\bm{t_1 = 8.82\ s}}}} \atop {\fbox{\color[RGB]{192,0,0}{\bm{t_2 = 1.39\ s}}}}

Ambas soluciones son válidas físicamente. La primera se refiere al instante en el que el objeto está en descenso y la primera cuando aún está en ascenso.