Calor necesario para calentar hielo hasta vapor

, por F_y_Q

¿Qué cantidad de calor es necesario para elevar 30 g de hielo desde -4^oC hasta 103^oC?

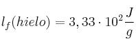
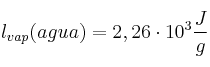
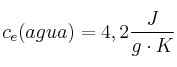
Datos: c_e(hielo) = c_e(vapor) = 2,1\frac{J}{g\cdot K} ; c_e(agua) = 4,2\frac{J}{g\cdot K} ; l_f(hielo) = 3,33\cdot 10^2\frac{J}{g} ; l_{vap}(agua) = 2,26\cdot 10^3\frac{J}{g} ; T_f = 0^oC ; T_{eb} = 100^oC

P.-S.

El proceso de calentamiento implica dos cambios de estado. Esto hace que tengamos que dividirlo en cinco pasos:
Primer paso: Calentar el hielo hasta la temperatura de fusión.

Q_1 = m\cdot c_e(hielo)\cdot (T_f - T_0) = 30\ \cancel{g}\cdot 2,1\frac{J}{\cancel{g}\cdot \cancel{^oC}}\cdot [0 - (-4)]\ \cancel{^oC} = 252\ J


Segundo paso: Cambio de estado del hielo.

Q_2 = m\cdot l_f(hielo) = 30\ \cancel{g}\cdot 3,33\cdot 10^2\frac{J}{\cancel{g}} = 9,99\cdot 10^3\ J


Tercer paso: Calentar el agua hasta la temperatura de ebullición.

Q_3 = m\cdot c_e(agua)\cdot (T_{eb} - T_f) = 30\ \cancel{g}\cdot 4,2\frac{J}{\cancel{g}\cdot \cancel{^oC}}\cdot (100 - 0)\ \cancel{^oC} = 1,26\cdot 10^3\ J


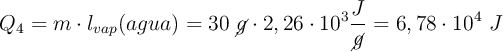
Cuarto paso: Cambio de estado del agua.

Q_4 = m\cdot l_{vap}(agua) = 30\ \cancel{g}\cdot 2,26\cdot 10^3\frac{J}{\cancel{g}} = 6,78\cdot 10^4\ J


Quinto paso: Calentar el vapor hasta la temperatura de final.

Q_5 = m\cdot c_e(vap)\cdot (T - T_{eb}) = 30\ \cancel{g}\cdot 2,1\frac{J}{\cancel{g}\cdot \cancel{^oC}}\cdot (103 - 100)\ \cancel{^oC} = 189\ J


El calor total será la suma de los calores que hemos calculado en cada paso:
Q_T = Q_1 + Q_2 + Q_3 + Q_4 + Q_5

Q_T = (252 + 9,99\cdot 10^3 + 1,26\cdot 10^3 + 6,78\cdot 10^4 + 189)\ J = \bf 9,08\cdot 10^4\ J