Ampiación: Presión de un tanque a partir de las alturas de columnas de líquidos (5816)

, por F_y_Q

Considera dos fluidos cuyas densidades son 62.4\ lb\cdot ft^{-3} y 163.8\ lb\cdot ft^{-3}. Determina la presión del gas encerrado en el tanque que se muestra en la figura, expresada en atmósferas. Supón que la densidad del gas es despreciable comparada con las densidades de los fluidos del manómetro.

P.-S.

La presión en el tanque debe ser igual a la diferencia de las presiones que ejercen en el interior del manómetro los fluidos. Estas presiones se pueden escribir en función de las densidades y las alturas de cada uno de los fluidos:

P_T = \Delta p_i\ \to\ P_T  = \Delta (\rho_i\cdot g\cdot h_i)\ \to\ \color[RGB]{2,112,20}{\bm{P_T = g\cdot (\rho_1\cdot h_1 - \rho_2\cdot h_2)}}

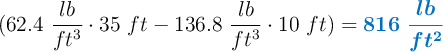
Calculas el valor de la diferencia del paréntesis en las unidades que te proporciona el enunciado:

(62.4\ \frac{lb}{ft^3}\cdot 35\ ft - 136.8\ \frac{lb}{ft^3}\cdot 10\ ft) = \color[RGB]{0,112,192}{\bm{816\ \frac{lb}{ft^2}}}

Para poder calcular la presión debes hacer la conversión a unidades SI del resultado anterior:

816\ \frac{\cancel{lb}}{\cancel{ft^2}}\cdot \frac{0.453\ kg}{1\ \cancel{lb}}\cdot \frac{10.67\ \cancel{ft^2}}{1\ m^2} = \color[RGB]{0,112,192}{\bm{3.98\cdot 10^3\ \frac{kg}{m^2}}}

Ahora haces el cálculo de la presión del tanque y usas el factor de conversión para convertirla en atm, para hacerlo en un único paso:

P_T = 9.8\ \frac{m}{s^2}\cdot 3.98\cdot 10^3\ \frac{kg}{m^2}\cdot \frac{1\ atm}{10^5\ Pa} = \fbox{\color[RGB]{192,0,0}{\bf 0.39\ atm}}