Preparación de disoluciones por dilución de una solución comercial de HCl (5157)

, por F_y_Q

Se desean preparar 100 mL de una disolución de HCl 2 M a partir de la información que muestra la etiqueta del ácido comercial del que disponemos: (pureza 37 \ \% en masa y densidad 1.19 g/mL). ¿Qué volumen de disolución comercial se necesita?

a) A partir de la nueva disolución, ¿qué volumen se requiere para preparar 200 mL de una disolución de concentración 355 ppm?

b) ¿Qué volumen será necesario de la disolución preparada para una preparar 100 mL de una disolución de concentración 250 ppm?

P.-S.

Disolución 2 M. Para preparar la primera disolución, calculas la masa de HCl que ha de contener los 100 mL de disolución 2 molar:

100\ \cancel{mL}\cdot \frac{2\ \cancel{mol}\ HCl}{10^3\ \cancel{mL}}\cdot \frac{36.5\ g}{1\ \cancel{mol}} = \color[RGB]{0,112,192}{\bf 7.3\ g\ HCl}

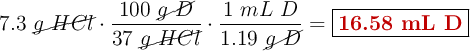
Ahora necesitas convertir la masa calculada en volumen de disolución comercial:

7.3\ \cancel{g\ HCl}\cdot \frac{100\ \cancel{g\ D}}{37\ \cancel{g\ HCl}}\cdot \frac{1\ mL\ D}{1.19\ \cancel{g\ D}} = \fbox{\color[RGB]{192,0,0}{\bf 16.58\ mL\ D}}


Necesitas 16.58 mL de la disolución comercial a los que añades 83.42 mL de agua.

a) 200 mL de disolución de 355 ppm.

La disolución ha de contener 355 mg de HCl por cada litro de disolución, mientras que la disolución que hemos preparado contiene 2 moles de HCl por cada litro, es decir, 73 g de HCl por cada litro. Como deseas solo 200 mL de disolución:

200\ mL\ D\cdot \frac{355\ \cancel{mg\ HCl}}{10^3\ \cancel{mL\ D_i}}\cdot \frac{\cancel{10^3\ mL\ D_i}}{73\cdot 10^3\ \cancel{mg\ HCl}} = \fbox{\color[RGB]{192,0,0}{\bf 0.973\ mL\ D}}


Necesitas 0.973 mL de la disolución preparada a los que añades 199.03 mL de agua.

b) 100 mL de disolución de 250 ppm.

Ahora la disolución ha de contener 250 mg de HCl por cada litro de disolución:

100\ mL\ D\cdot \frac{250\ \cancel{mg\ HCl}}{73\cdot 10^3\ \cancel{mg\ HCl}} = \fbox{\color[RGB]{192,0,0}{\bf 0.342\ mL\ D}}


Necesitas 0.342 mL de la disolución preparada a los que añades 99.66 mL de agua.