¿Es reversible o no la transferencia de calor entre dos gases a distinta temperatura?

, por F_y_Q

Dos recipientes rígidos de igual volumen contienen cada uno 5 moles del mismo gas monoatómico ideal a diferente temperatura T_1 = 400\ K y T_2 = 600\ K. Se ponen en contacto térmico y llegan a una temperatura final de equilibrio T_F. Calculando el cambio de entropía del universo, decide si el proceso es reversible o no.

Nota: \Delta S = 0 implica procesos reversibles.

P.-S.

En el sistema descrito, suponiéndolo ideal, la variación de entropía del sistema sería cero porque el mismo calor que cede el foco caliente es el que absorbe el foco frío. La entropía del Universo sería la suma de las variaciones de entropía del sistema y de los alrededores (ambiente). Se debe cumplir la ecuación:
\Delta S_U = \cancelto{0}{\Delta S_{sist}} + \Delta S_{amb}\ \to\ \Delta S_U = \Delta S_{amb}
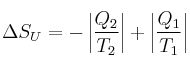
Aplicando la definición de entropía a cada uno de los recipientes:
\Delta S_U = -\left|\frac{Q_2}{T_2}\right| + \left|\frac{Q_1}{T_1}\right|
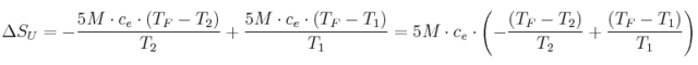
Podemos escribir cada uno de los calores en función de la masa y calor específico Q = m\cdot c_e\cdot \Delta T:
\Delta S_U = -\frac{5M\cdot c_e\cdot (T_F - T_2)}{T_2} + \frac{5M\cdot c_e\cdot (T_F - T_1)}{T_1} = 5M\cdot c_e\cdot \left(-\frac{(T_F - T_2)}{T_2} + \frac{(T_F - T_1)}{T_1}\right)
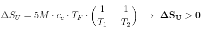
Desarrollando el paréntesis obtendremos:

\Delta S_U = 5M\cdot c_e\cdot T_F\cdot \left(\frac{1}{T_1} - \frac{1}{T_2}\right)\ \to\ \bf \Delta S_U > 0

Esto quiere decir que el proceso es irreversible.