Masa relativista de un cuerpo conocida su velocidad con respecto a la de la luz (5283)

, por F_y_Q

La velocidad de un cuerpo y la velocidad de la luz están en relación de 3 a 7. Si la masa inicial es de 3.162 gramos, ¿cuál es su masa final?

P.-S.

La masa relativista del cuerpo la puedes obtener a partir de la ecuación:

\color[RGB]{2,112,20}{\bm{m  = \frac{m_0}{\sqrt{1-\dfrac{v^2}{c^2}}}}

Como sabes que la relación entre v y c es 3 a 7, puedes escribir que \color[RGB]{0,112,192}{\bm{v  = \frac{3c}{7}}}

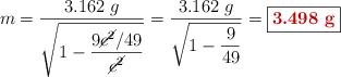
Sustituyendo en la expresión anterior calculas la masa:

m = \frac{3.162\ g}{\sqrt{1-\dfrac{9\cancel{c^2}/49}{\cancel{c^2}}}} = \frac{3.162\ g}{\sqrt{1 - \dfrac{9}{49}}} = \fbox{\color[RGB]{192,0,0}{\bf 3.498\ g}}