Presión hidrostática a 5 m de un líquido denso

, por F_y_Q

Calcula la presión hidrostática a 5 m de profundidad en un recipiente con un líquido que tiene una densidad de 1,84\ \textstyle{g\over cm^3}.

Considera el valor de g como 10\textstyle{m\over s^2}.

P.-S.

La presión hidrostática se obtiene al calcular la presión que ejerce una columna del líquido sobre el punto que consideramos en el interior del líquido. Vamos a deducir la ecuación a usar, teniendo en cuenta que la masa del líquido se puede poner en función del volumen y la densidad:
P = \frac{F}{S} = \frac{m\cdot g}{S} = \frac{\rho\cdot V\cdot g}{S}\ \to\ P = \rho\cdot g\cdot h
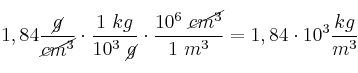
Hay que tener especial cuidado con la densidad del líquido porque habría que expresarla en unidad SI:
1,84\frac{\cancel{g}}{\cancel{cm^3}}\cdot \frac{1\ kg}{10^3\ \cancel{g}}\cdot \frac{10^6\ \cancel{cm^3}}{1\ m^3} = 1,84\cdot 10^3\frac{kg}{m^3
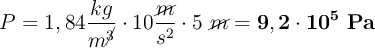
Sustituimos en la ecuación y calculamos el valor de la presión hidrostática:

P = 1,84\frac{kg}{m^{\cancel{3}}}\cdot 10\frac{\cancel{m}}{s^2}\cdot 5\ \cancel{m} = \bf 9,2\cdot 10^5\ Pa