Distancia que recorre un cuerpo sobre el que actúa una fuerza

, por F_y_Q

Sobre un cuerpo de 6 kg de masa, inicialmente en reposo, actúa una fuerza de 24 N. Calcula la distancia recorrida por el cuerpo en 10 s.

P.-S.

Aplicando la segunda ley de la Dinámica podemos calcular la aceleración a la que está sometido el cuerpo:
F = m\cdot \ \to\ a = \frac{F}{m} = \frac{24\ N}{6\ kg} = 4\ \frac{m}{s^2}
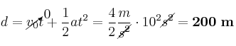
Como se mueve con un movimiento acelerado, la distancia que recorrerá en 10 s es:

d = \cancelto{0}{v_0}t + \frac{1}{2}at^2 = \frac{4}{2}\frac{m}{\cancel{s^2}}\cdot 10^2\cancel{s^2} = \bf 200\ m