Composición centesimal a partir de la ley de Proust

, por F_y_Q

Hallar el porcentaje de cada elemento en los siguientes compuestos, a partir de la Ley de Proust:

a) Fe_2O_3, b) H_2SO_4, c) NaCl y d) C_{12}H_{22}O_{11}

Masas atómicas: Fe = 56 ; O = 16 ; S = 32 ; Na = 23 ; Cl = 35,5 ; H = 1.

P.-S.

La ley de Proust indica que cuando dos o más elementos se combinan para dar lugar al mismo compuesto lo hacen siempre en la misma proporción. Lo que debemos hacer en cada caso es establecer la proporción de cada elemento en cada compuesto y luego hacer la proporción que tendrían referidos a 100 g de compuesto.
Las masas moleculares de cada uno de los compuestos son
Fe_2O_3:\ 2\cdot 56 + 3\cdot 16 = 160\ u
H_2SO_4:\ 2\cdot 1 + 1\cdot 32 + 4\cdot 32 = 98\ u
NaCl:\ 1\cdot 23 + 1\cdot 35,5 = 58,5\ u
C_{12}H_{22}O_{11}:\ 12\cdot 12 + 22\cdot 1 + 11\cdot 16 = 342\ u
a)

\frac{2\cdot 56\ g\ Fe}{160\ g\ Fe_2O_3} = \frac{x}{100\ g\ Fe_2O_3}\ \to\ x = \frac{112\ g\ Fe\cdot 100\ \cancel{g\ Fe_2O_3}}{160\ \cancel{g\ Fe_2O_3}} = 70\ g\ Fe

Los porcentajes de los elementos son \bf 70\% para el Fe y \bf 30\% para el O.
b) Al tratarse de un compuesto con tres átomos, es necesario determinar el porcentaje de dos de ellos para luego obtener el del tercero por diferencia:

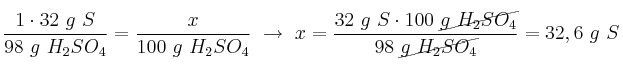
\frac{1\cdot 32\ g\ S}{98\ g\ H_2SO_4} = \frac{x}{100\ g\ H_2SO_4}\ \to\ x = \frac{32\ g\ S\cdot 100\ \cancel{g\ H_2SO_4}}{98\ \cancel{g\ H_2SO_4}} = 32,6\ g\ S

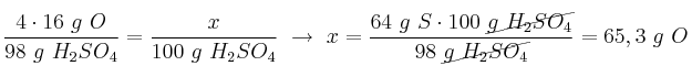
\frac{4\cdot 16\ g\ O}{98\ g\ H_2SO_4} = \frac{x}{100\ g\ H_2SO_4}\ \to\ x = \frac{64\ g\ S\cdot 100\ \cancel{g\ H_2SO_4}}{98\ \cancel{g\ H_2SO_4}} = 65,3\ g\ O

Los porcentajes de los elementos son \bf 32,6\% para el S, \bf 65,3\% para el O y \bf 2,1\% para el H.
c)

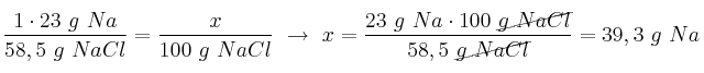
\frac{1\cdot 23\ g\ Na}{58,5\ g\ NaCl} = \frac{x}{100\ g\ NaCl}\ \to\ x = \frac{23\ g\ Na\cdot 100\ \cancel{g\ NaCl}}{58,5\ \cancel{g\ NaCl}} = 39,3\ g\ Na

Los porcentajes de los elementos son \bf 39,3\% para el Na y \bf 60,7\% para el Cl.
d) Al tratarse de un compuesto con tres átomos, hacemos como en el apartado b):

\frac{12\cdot 12\ g\ S}{342\ g\ C_{12}H_{22}O_{11}} = \frac{x}{100\ g\ C_{12}H_{22}O_{11}}\ \to\ x = \frac{144\ g\ C\cdot 100\ \cancel{g\ C_{12}H_{22}O_{11}}}{342\ \cancel{g\ C_{12}H_{22}O_{11}}} = 42,1\ g\ C

\frac{22\cdot 1\ g\ H}{342\ g\ C_{12}H_{22}O_{11}} = \frac{x}{100\ g\ C_{12}H_{22}O_{11}}\ \to\ x = \frac{22\ g\ H\cdot 100\ \cancel{g\ C_{12}H_{22}O_{11}}}{342\ \cancel{g\ C_{12}H_{22}O_{11}}} = 6,4\ g\ H

Los porcentajes de los elementos son \bf 42,1\% para el C, \bf 6,4\% para el H y \bf 51,5\% para el O.