Porcentaje en masa final de una mezcla de disoluciones y agua

, por F_y_Q

A 100 g de agua se le agregan 450 g de una disolución al 25\% (m/m) y 250 g de otra disolución al 15\% (m/m), ambas del mismo soluto. ¿Cuál es la concentración final expresada en porcentaje en masa?

P.-S.

Vamos a calcular la masa de soluto (S) y de disolvente (d) que corresponde a cada una de las disoluciones que mezclamos, aplicando la definición del porcentaje en masa en forma de factor de conversión.
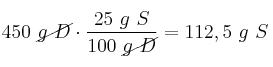
Primera disolución:
450\ \cancel{g\ D}\cdot \frac{25\ g\ S}{100\ \cancel{g\ D}} = 112,5\ g\ S
Por lo tanto, habrá (450 - 112,5) g = 337,5 g d.
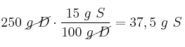
Segunda disolución:
250\ \cancel{g\ D}\cdot \frac{15\ g\ S}{100\ \cancel{g\ D}} = 37,5\ g\ S
Por lo tanto, habrá (250 - 37,5) g = 212,5 g d.
La masa total de soluto es la suma de las masas anteriores:
m_S = (112,5 + 37,5)\ g = 150\ g\ S
La masa total de disolvente, teniendo en cuenta los 100 g de agua de partida, es:
m_d = (100 + 337,5 + 212,5)\ g = 650\ g\ d
La masa total de la disolución es la suma de las masas de soluto y disolvente:
m_D = (150 + 650)\ g\ = 800\ g\ D
Ahora podemos calcular el porcentaje en masa de la disolución final:

\%\ (m/m) = \frac{m_S}{m_D}\cdot 100 = \frac{150\ \cancel{g}}{800\ \cancel{g}}\cdot 100 = \bf 18,75\%