Aceleración de un coche que varía su velocidad y fuerza necesaria para ello (5582)

, por F_y_Q

Un coche de 1 000 kg de masa se acelera de 20 m/s a 30 m/s en una distancia de 200 m.

a) ¿Cuánta fuerza se emplea en ello?

b) ¿Cuál es la aceleración del vehículo al aumentar la velocidad?

P.-S.

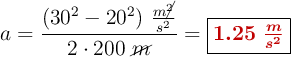
b) Puedes empezar calculando la aceleración del vehículo:

v_f^2 = v_i^2 + 2ad\ \to\ \color[RGB]{2,112,20}{\bm{\frac{v_f^2 - v_i^2}{2d} = a}}

Sustituyes los datos en la ecuación:

a = \frac{(30^2 - 20^2)\ \frac{m\cancel{^2}}{s^2}}{2\cdot 200\ \cancel{m}} = \fbox{\color[RGB]{192,0,0}{\bm{1.25\ \frac{m}{s^2}}}}


a) La fuerza necesaria es el producto de la aceleración calculada por la masa del coche:

F = m\cdot a = 10^3\ kg\cdot 1.25\ \frac{m}{s^2} = \fbox{\color[RGB]{192,0,0}{\bm{1.25\cdot 10^3\ N}}}