Ampliación: masa de agua que se obtiene al reaccionar H y O (5801)

, por F_y_Q

Se hacen reaccionar 10 g de hidrógeno y 105 g de oxígeno para obtener agua. ¿Qué cantidad de agua será la que se obtenga?

Masas atómicas: H = 1 ; O = 16.

P.-S.

Como siempre que estamos ante una reacción química es necesario escribir la ecuación química:

\color[RGB]{2,112,20}{\textbf{\ce{H2(g) + \textstyle{1\over 2}O2(g) -> H2O(l)}}}


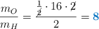
La relación entre las masas de hidrógeno y oxígeno es:

\frac{m_O}{m_H} = \frac{\frac{1}{\cancel{2}}\cdot 16\cdot \cancel{2}}{2} = \color[RGB]{0,112,192}{\bf 8}

Esto quiere decir que son necesarios 8 g de O por cada gramo de H. Si reaccionan 10 g de H solo reaccionarán 80 g de O. Aplicando la ley de la Conservación de la Masa tienes:

m_{\ce{H2O}} = m_{\ce{H2}} + m_{\ce{O2}} = (10 + 80)\ g = \fbox{\color[RGB]{192,0,0}{\bf 90\ g}}


Descarga el enunciado y la resolución del problema en formato EDICO si lo necesitas.