Volumen de agua y disolución comercial para preparar 2 litros 0.5 M de HCl (5588)

, por F_y_Q

Queremos preparar 2 litros de disolución de cloruro de hidrógeno 0.5 M. Calcula el volumen de ácido comercial del 37.5\ \% en masa y densidad 1.19\ \textstyle{g\over cm^3} que debemos añadir al matraz aforado, así como la cantidad de agua destilada necesaria para completar el volumen de disolución.

P.-S.

Empiezas por calcular la masa de HCl puro que necesitas para la disolución 0.5 M:

0.5\ \frac{\cancel{mol}}{\cancel{L}}\cdot 2\ \cancel{L}\cdot \frac{36.5\ \ce{g\ HCl}}{1\ \cancel{mol}} = \color[RGB]{0,112,192}{\textbf{36.5 g HCl}}

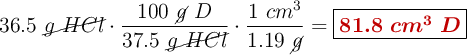
Aplicando el porcentaje en masa de la disolución y la densidad de la misma puedes determinar el volumen que necesitas. Lo haces con dos factores de conversión en un único paso:

36.5\ \cancel{g\ HCl}\cdot \frac{100\ \cancel{g}\ D}{37.5\ \cancel{g\ HCl}}\cdot \frac{1\ cm^3}{1.19\ \cancel{g}} = \fbox{\color[RGB]{192,0,0}{\bm{81.8\ cm^3\ D}}}


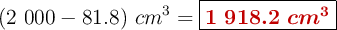
Tendrás que poner \fbox{\color[RGB]{192,0,0}{\bm{81.8\ cm^3}}} de disolución comercial en el matraz. El resto será de agua:

(2\ 000 - 81.8)\ cm^3 = \fbox{\color[RGB]{192,0,0}{\bm{1\ 918.2\ cm^3}}}