Masa de CO2 emitidas al quemar 25 000 L de etanol (5693)

, por F_y_Q

El etanol, \ce{C_2H_6O}, es una sustancia que se utiliza como biocombustible. En su reacción de combustión origina dióxido de carbono y agua. Calcula las toneladas de \ce{CO_2} que se emiten a la atmósfera en la combustión de 25 000 L de etanol sabiendo que la proporción estequiométrica en masa es: \textstyle{m_{\ce{C_2H_6O}}\over m_{\ce{CO_2}}} = 0.52.

Dato: \rho_{\ce{C_2H_6O}} = 0.789\ \textstyle{kg\over L} .

P.-S.

En primer lugar calculas la masa de etanol que corresponde al volumen dado en el enunciado:

m_{\ce{C_2H_6O}} = 2.5\cdot 10^4\ \cancel{L}\cdot 0.789\ \frac{kg}{\cancel{L}} = \color[RGB]{0,112,192}{\bf 19\ 725\ kg}

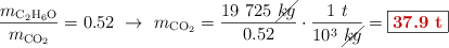
Ahora aplicamos la proporción estequiométrica en masa:

\frac{m_{\ce{C_2H_6O}}}{m_{\ce{CO_2}}} = 0.52\ \to\ m_{\ce{CO_2}} = \frac{19\ 725\ \cancel{kg}}{0.52}\cdot \frac{1\ t}{10^3\ \cancel{kg}} = \fbox{\color[RGB]{192,0,0}{\bf 37.9\ t}}