Densidad resultante de la mezcla de dos gases en un volumen fijo (5417)

, por F_y_Q

A un recipiente rígido de 6 L, que contiene 4.25 g de helio, se le agrega, a temperatura constante, neón hasta duplicar la presión inicial. Calcula la densidad de la solución gaseosa resultante.

P.-S.

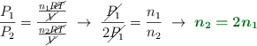
Al tratarse de un recipiente rígido (volumen constante) y hacerse el proceso a temperatura constante, lo único que varía es la presión y los moles de gases que contiene el recipiente. Sabes la relación entre la presión inicial y final con lo que puedes saber la relación entre los moles iniciales y finales, que también será el doble:

\frac{P_1}{P_2} = \frac{\frac{n_1\cancel{RT}}{\cancel{V}}}{\frac{n_2\cancel{RT}}{\cancel{V}}}\ \to\ \frac{\cancel{P_1}}{2\cancel{P_1}} = \frac{n_1}{n_2}\ \to\ \color[RGB]{2,112,20}{\bm{n_2 = 2n_1}}

El número de moles al final es el doble. Si calculas los moles de helio que hay al principio podrás saber los moles de neón que has introducido:

4.25\ \cancel{g}\ He\cdot \frac{1\ \text{mol}}{4\ \cancel{g}} = \color[RGB]{0,112,192}{\textbf{1.06\ \ce{mol\ He}}}

Has añadido 1.06 moles de neón que representan una masa de:

1.06\ \cancel{mol}\ \ce{Ne}\cdot \frac{20.2\ g}{1\ \cancel{mol}} = \color[RGB]{0,112,192}{\textbf{21.41\ \ce{g\ Ne}}}

La masa total de gas al final de proceso es:

m_T = (4.25 + 21.41)\ g = \color[RGB]{0,112,192}{\bf 25.66\ g}

La densidad de la mezcla será:

\rho = \frac{m_T}{V} = \frac{25.66\ g}{6\ L} = \fbox{\color[RGB]{192,0,0}{\bm{4.28\ \frac{g}{L}}}}