Velocidad de un automóvil después de acelerar durante 21 segundos

, por F_y_Q

Un automóvil marcha a 16 m/s y en 21 s de movimiento uniformemente acelerado tiene un desplazamiento de 1 115 m. Calcula su rapidez en ese momento.

P.-S.

Empezaremos el ejercicio calculando la aceleración a la que está sometido el automóvil y luego podremos calcular la velocidad que tiene tras la aceleración:
d = v_0t + \frac{1}{2}at^2\ \to\ 1\ 115 = 16\cdot 21 + \frac{a}{2}\cdot 21^2
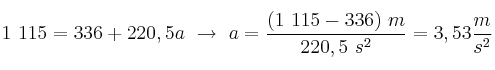
Despejamos y resolvemos la ecuación:
1\ 115 = 336 + 220,5a\ \to\ a = \frac{(1\ 115 - 336)\ m}{220,5\ s^2} = 3,53\frac{m}{s^2}
Ya podemos calcular la velocidad que llevará en ese momento:

v = v_0 + at = 16\frac{m}{s} + 3,53\frac{m}{s\cancel{^2}}\cdot 21\ \cancel{s} = \bf 90,13\frac{m}{s}

Palabras clave