Grado de disociación y concentración de un ácido débil 0002

, por F_y_Q

El pH de una disolución acuosa de ácido acético es 2,9. Calcular la molaridad y el grado de disociación del ácido acético en dicha disolución.

Dato: K_a = 1,8\cdot 10^{-5}

P.-S.

A partir del dato del pH podemos determinar la concentración de H_3O^+ y de acetato en el equilbrio:
pH = -log\ [H_3O^+]\ \to\ [H_3O^+] = 10^{-pH} = 10^{-2,9} = 1,26\cdot 10^{-3}\ M
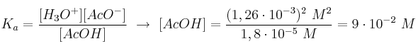
Este dato es igual al producto de la concentración inicial por el grado de disociación que son, precisamente, los datos que debemos calcular. Necesitamos de otra ecuación para poder resolverlo. La ecuación será la de la constante K_a:
K_a = \frac{[H_3O^+][AcO^-]}{[AcOH]}\ \to\ [AcOH] = \frac{(1,26\cdot 10^{-3})^2\ M^2}{1,8\cdot 10^{-5}\ M} = 9\cdot 10^{-2}\ M
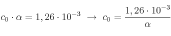
Ya tenemos las dos ecuaciones que nos hacían falta:
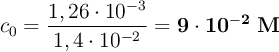
c_0\cdot \alpha = 1,26\cdot 10^{-3}\ \to\ c_0 = \frac{1,26\cdot 10^{-3}}{\alpha}
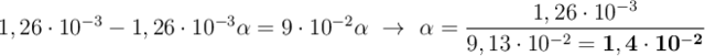
c_0\cdot (1 - \alpha) = 9\cdot 10^{-2}
Sustituyendo c_0 en la segunda ecuación:

1,26\cdot 10^{-3} - 1,26\cdot 10^{-3}\alpha = 9\cdot 10^{-2}\alpha\ \to\ \alpha = \frac{1,26\cdot 10^{-3}}{9,13\cdot 10^{-2} = \bf 1,4\cdot 10^{-2}


El valor de la molaridad del ácido es:

c_0 = \frac{1,26\cdot 10^{-3}}{1,4\cdot 10^{-2}} = \bf 9\cdot 10^{-2}\ M