Aceleración de un móvil debiendo hacer un cambio de unidades

, por F_y_Q

Expresa la velocidad de un móvil que se desplaza a 8\ 200\ \textstyle{hm\over h} en \textstyle{m\over s}. Sabiendo que el móvil alcanza una velocidad de 12\ 700\ \textstyle{hm\over h} en un tiempo de 7 s, ¿cuál es su aceleración?

P.-S.

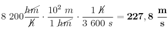
Hacemos un cambio de unidades usando dos factores de conversión:

8\ 200\frac{\cancel{hm}}{\cancel{h}}\cdot \frac{10^2\ m}{1\ \cancel{hm}}\cdot \frac{1\ \cancel{h}}{3\ 600\ s} = \bf 227,8\ \frac{m}{s}


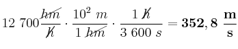
Para poder calcular la aceleración tenemos que hacer el cambio de unidades también para la velocidad final:
12\ 700\frac{\cancel{hm}}{\cancel{h}}\cdot \frac{10^2\ m}{1\ \cancel{hm}}\cdot \frac{1\ \cancel{h}}{3\ 600\ s} = \bf 352,8\ \frac{m}{s}
La aceleración es el cociente entre la variación de la velocidad y el tiempo empleado en ella:

a = \frac{(v_f - v_0)}{t} = \frac{(352,8 - 227,8)\frac{m}{s}}{7\ s} = \bf 17,86\ \frac{m}{s^2}