Moles de un sistema gaseoso que sufre varias transformaciones y estado final (5765)

, por F_y_Q

Un gas ideal se encuentra a una presión de 5.00 atm, a una temperatura de -170\ ^oC y ocupa un volumen de 50.0 L. El gas duplica su volumen mediante un proceso a temperatura constante, luego se enfría a volumen constante hasta alcanzar una presión de 1.50 atm. Determina:

a) El número de moles de gas contenido en el sistema.

b) La presión al final de la expansión.

c) La temperatura final.

P.-S.

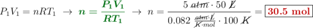
a) Aplicando la ecuación de los gases ideales para los datos iniciales del gas obtienes:

P_1V_1 = nRT_1\ \to\ {\color[RGB]{2,112,20}{\bm{n = \frac{P_1V_1}{RT_1}}}}\ \to\ n = \frac{5\ \cancel{atm}\cdot 50\ \cancel{L}}{0.082\ \frac{\cancel{atm}\cdot \cancel{L}}{\cancel{K}\cdot mol}\cdot 100\ \cancel{K}} = \fbox{\color[RGB]{192,0,0}{\bf 30.5\ mol}}


b) Al ser constante la temperatura durante la expansión, aplicas la ley de Boyle para calcular la presión al final de la misma:

P_1\cdot V_1 = P_2\cdot V_2\ \to\ {\color[RGB]{2,112,20}{\bm{P_2 = \frac{P_1\cdot V_1}{V_2}}}}\ \to\ P_2 = \frac{5\ atm\cdot 50\ \cancel{L}}{100\ \cancel{L}} = \fbox{\color[RGB]{192,0,0}{\bf 2.50\ atm}}


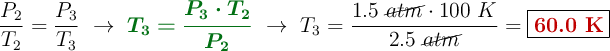
c) La última transformación se realiza a volumen constante por lo que aplicas la ley de Gay-Lussac:

\frac{P_2}{T_2} = \frac{P_3}{T_3}\ \to\ {\color[RGB]{2,112,20}{\bm{T_3 = \frac{P_3\cdot T_2}{P_2}}}}\ \to\ T_3 = \frac{1.5\ \cancel{atm}\cdot 100\ K}{2.5\ \cancel{atm}} = \fbox{\color[RGB]{192,0,0}{\bf 60.0\ K}}