Estudio de una composición de movimientos en distintos tramos de tiempo

, por F_y_Q

En el instante t = 0 una partícula se encuentra a -50 m de un observador. La partícula se mueve con velocidad constante de 10 m/s durante 30 s e inmediatamente frena uniformemente hasta llegar al reposo 20 s después. Suponiendo la dirección del movimiento sobre el eje X positivo, calcula:

a) La aceleración de la partícula durante el frenado.

b) El desplazamiento total de la partícula.

c) La posición de la partícula en el instante que se detiene.

d) La velocidad de la partícula a los 40 s.

e) La rapidez media de la partícula durante los 50 s.

f) La aceleración media durante los 50 s.

P.-S.

Los datos que debemos tener claros en el enunciado son:
x_0 = -50\ m, v = 10\frac{m}{s}, t_1 = 30\ s, t_f = 20\ s
a) La aceleración de frenado es:

a = \frac{v_f - v_0}{t_f} = \frac{(0 - 10)\frac{m}{s}}{20\ s} = \bf -0,5\frac{m}{s^2}


b) Calculamos la posición final de la partícula y sabremos el desplazamiento total si tenemos en cuenta su posición inicial:
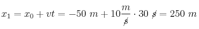
Posición antes de frenar:
x_1 = x_0 + vt = -50\ m + 10\frac{m}{\cancel{s}}\cdot 30\ \cancel{s} = 250\ m
Posición cuando se detiene:
x_f = x_1 + vt_f + \frac{a}{2}t_f^2 = 250\ m + 10\frac{m}{\cancel{s}}\cdot 20\ \cancel{s} - 0,25\frac{m}{\cancel{s^2}}\cdot 20^2\ \cancel{s^2} = 350\ m
El desplazamiento total será la diferencia entre sus posiciones inicial y final:

s = x_f - x_0 = [350 - (50)\ m] = \bf 400\ m


c) La posición final de la partícula ha sido calculada anteriormente y es \bf x_2 = 350\ m.
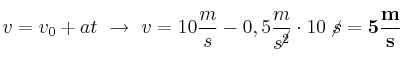
d) La velocidad a los 40 s se puede obtener a partir de la ecuación de la velocidad para un MRUA, pero considerando que solo lleva 10 s frenando porque los primeros 30 s se mueve con un MRU:

v = v_0 + at\ \to\ v = 10\frac{m}{s} - 0,5\frac{m}{s^\cancel{2}}}\cdot 10\ \cancel{s} = \bf 5\frac{m}{s}


e) La rapidez media es el cociente entre el desplazamiento y el tiempo considerado:

v_m = \frac{s}{t} = \frac{400\ m}{50\ s} = \bf 8\frac{m}{s}


f) La aceleración media es la variación de la velocidad dividida por el tiempo considerado:

a_m = \frac{v_f - v_0}{t} = \frac{(0 - 10)\frac{m}{s}}{50\ s} = \bf -0,2\frac{m}{s^2}