Cálculo de la energía mecánica en el sistema CGS (5323)

, por F_y_Q

Calcula la energía mecánica de un cuerpo con 50 kg que se encuentra a una altura de 30 m, cuando se mueve en caída libre a una velocidad de $15\ cm\cdot s^-1$. Expresa el resultado en el sistema CGS.

P.-S.

En el sistema CGS, debes expresar la masa en gramos, la longitud en centímetros, y el tiempo en segundos.

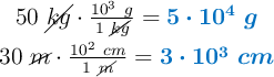
Conviertes las unidades de la masa y la altura:

\left 50\ \cancel{kg}\cdot \frac{10^3\ g}{1\ \cancel{kg}} = {\color[RGB]{0,112,192}{\bm{5\cdot 10^4\ g}}} \atop 30\ \cancel{m}\cdot \frac{10^2\ cm}{1\ \cancel{m}} = {\color[RGB]{0,112,192}{\bm{3\cdot 10^3\ cm}}} \right

La energía mecánica es la suma de las energías cinética y potencial:

E_M = E_C + E_P = \frac{m}{2}\cdot v^2 + mgh\ \to\ \color[RGB]{2,112,20}{\bm{E_M = m\left(\frac{v^2}{2} + gh\right)}}

La aceleración de la gravedad, expresada en unidades CGS, es:

g = 9.8\ \frac{\cancel{m}}{s^2}\cdot \frac{10^2\ cm}{1\ \cancel{m}} = \color[RGB]{0,112,192}{\bm{9.8\cdot 10^2\ \frac{cm}{s^2}}}

Sustituyes los datos en la ecuación y calculas:

E_M = 5\cdot 10^4\ kg\left(\frac{15^2\ cm^2\cdot s^{-2}}{2} + 9.8\ cm\cdot s^{-2}\cdot 3\cdot 10^3\ cm\right) = \fbox{\color[RGB]{192,0,0}{\bm{1.47\cdot 10^{11}\ g\cdot cm^2\cdot s^{-2}}}}