Equilibrio entre el peso y la fuerza electrostática de un cuerpo (5440)

, por F_y_Q

Un cuerpo de 100 g está cargado con 10 ^{-6}\ C :

a) ¿A qué distancia debe colocarse otro cuerpo cargado con 10 ^{-6}\ C para que el primero esté en equilibrio?

b) ¿De qué signo es dicha carga?

P.-S.

El cuerpo debe estar sometido a dos fuerzas, la gravitatoria (debida a su masa) y la eléctrica (cuando interactúa con la otra carga). Ambas fuerzas deben ser de igual intensidad pero sentido contrario para lograr el equilibrio. Como el peso es vertical y hacia abajo, la fuerza eléctrica debe ser vertical hacia arriba.

b) La segunda carga debe ser negativa y estar situada por encima de la primera carga para que la fuerza eléctrica sea de sentido vertical y hacia arriba.

a) Las dos fuerzas han de ser iguales en módulo:

p = F_E\ \to\ \color[RGB]{2,112,20}{\bm{m\cdot g = K\cdot \frac{q_1\cdot q_2}{d^2}}}

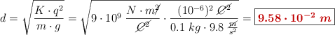
Despejas el valor de la distancia y sustituyes:

d = \sqrt{\frac{K\cdot q^2}{m\cdot g}} = \sqrt{9\cdot 10^9\ \frac{N\cdot m\cancel{^2}}{\cancel{C^2}}\cdot \frac{(10^{-6})^2\ \cancel{C^2}}{0.1\ kg\cdot 9.8\ \frac{\cancel{m}}{s^2}}} = \fbox{\color[RGB]{192,0,0}{\bm{9.58\cdot 10^{-2}\ m}}}