Número de moléculas de agua en un un centímetro cúbico (5814)

, por F_y_Q

Calcula el número de moléculas de agua que hay en 1\ cm ^3 de agua líquida.

Datos: \rho_{\ce{H2O}} = 1\ \textstyle{g\over cm^3} ; H = 1 ; O = 16 ; N_A = 6.022\cdot 10 ^{23}

P.-S.

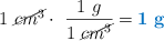
En primer lugar calculas la masa que corresponde al volumen indicado en el enunciado:

1\ \cancel{cm^3}\cdot\ \frac{1\ g}{1\ \cancel{cm^3}} = \color[RGB]{0,112,192}{\bf 1\ g}

Esta masa de agua tienes que convertirla en mol, a partir de la masa molecular del agua que es:

\ce{H2O}:\  (2\cdot 1 + 1\cdot 16) = \color[RGB]{0,112,192}{\bm{18\ \frac{g}{mol}}}

1\ \cancel{g}\cdot \frac{1\ mol}{18\ \cancel{g}} = \color[RGB]{0,112,192}{\bm{5.56\cdot 10^{-2}}\ \textbf{\ce{mol\ H2O}}

Ahora, usando el número de Avogadro, podemos calcular las moléculas de agua contenidas en esos moles:

5.56\cdot 10^{-2}\ \cancel{mol}\ \ce{H2O}\cdot \frac{6.022\cdot 10^{23}\ mol\acute{e}c}{1\ \cancel{mol}} = \fbox{\color[RGB]{192,0,0}{\bm{3.35\cdot 10^{22}\ mol\acute{e}c\ H_2O}}}


Descarga el enunciado y la resolución del problema en formato EDICO si lo necesitas.