Presión interna de un aerosol al aumentar la temperatura (5710)

, por F_y_Q

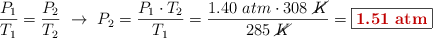
Una lata de aerosol tiene una presión interna de 1.40 atm a 285 K. ¿Cuál es la presión que tendrá si se encuentra en una habitación donde la temperatura es de 308 K?

P.-S.

Como el recipiente en el que está confinado el gas es rígido, supones que el volumen es constante y aplicamos la ley de Gay-Lussac:

\frac{P_1}{T_1} = \frac{P_2}{T_2}\ \to\ P_2 = \frac{P_1\cdot T_2}{T_1} = \frac{1.40\ atm\cdot 308\ \cancel{K}}{285\ \cancel{K}} = \fbox{\color[RGB]{192,0,0}{\bf 1.51\ atm}}