Fluoruro contenido en un kilómetro cúbico de agua de mar

, por F_y_Q

La abundancia del fluoruro en el mar es de 1 g de fluoruro por tonelada de agua. Supón que se pudiese encontrar un método comercial factible para extraer flúor del agua del mar, ¿qué masa de fluoruro podría obtenerse a partir de 1\ km^3 de agua de mar?

Dato: \rho_{H_2O}(mar) = 1,03\ \textstyle{g\over cm^3}.

P.-S.

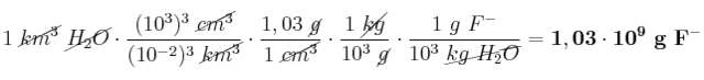
La clave de este ejercicio está en el trabajo con las unidades y los factores de conversión. Vamos a tomar como base el volumen de agua del enunciado y usaremos la densidad y la concentración de fluoruro como factores de conversión. Hacemos el cálculo en un único paso:

1\ \cancel{km^3}\ \cancel{H_2O}\cdot \frac{(10^3)^3\ \cancel{cm^3}}{(10^{-2})^3\ \cancel{km^3}}\cdot \frac{1,03\ \cancel{g}}{1\ \cancel{cm^3}}\cdot \frac{1\ \cancel{kg}}{10^3\ \cancel{g}}\cdot \frac{1\ g\ F^-}{10^3\ \cancel{kg\ H_2O}} = \bf 1,03\cdot 10^9\ g\ F^-

El resultado obtenido equivale a 1 030 toneladas de fluoruro.