Valoración de una solución de NaOH con biftalato de potasio (5179)

, por F_y_Q

Se mide la masa y se disuelven en agua 0.2854 g de biftalato de potasio para estandarizar una solución de \ce{NaOH}. Se realiza la titulación usando fenolftaleína como indicador y se consumen 15.5 mL de la solución de \ce{NaOH}. ¿Cuál es la concentración de esta solución de \ce{NaOH}?

P.-S.

En primer lugar calculas los moles de biftalato que se disuelven en agua. Para ello, tienes que determinar su masa molecular:

\ce{C8H5O4K}:\ 8\cdot 12 + 5\cdot 1 + 4\cdot 16 + 1\cdot 39 = \color[RGB]{0,112,192}{\bm{204\ \frac{g}{mol}}}

Ahora conviertes la masa de biftalato en mol:

0.2854\ \cancel{g}\ \ce{C8H5O4K}}\cdot \frac{1\ mol}{204\ \cancel{g}} = {\color[RGB]{0,112,192}{\bm{1.4\cdot 10^{-3}}}}\ \color[RGB]{0,112,192}{\textbf{\ce{mol\ C8H5O4K}}}

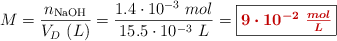
Para que se dé la neutralización del biftalato de potasio es necesario que los moles de \ce{NaOH} sean los mismos que los calculados, por lo que puedes determinar la molaridad de la base a partir del volumen consumido:

M = \frac{n_{\ce{NaOH}}}{V_D\ (L)} = \frac{1.4\cdot 10^{-3}\ mol}{15.5\cdot 10^{-3}\ L} = \fbox{\color[RGB]{192,0,0}{\bm{9\cdot 10^{-2}\ \frac{mol}{L}}}}