Ampliación: Volumen de un líquido conocida su densidad relativa (5602)

, por F_y_Q

La densidad relativa (o gravedad específica) de un líquido inorgánico es de 1.3 con respecto al agua pura. Calcula el volumen, en litros, de 84.0 g de este líquido.

P.-S.

La densidad relativa (o gravedad específica) es el cociente entre la densidad del líquido y la densidad del agua. Dado que la densidad del agua pura la puedes tomar como 1 \ \textstyle{kg\over L}, la densidad del líquido será:

\rho_r = \frac{\rho_l}{\rho_{\ce{H2O}}}\ \to\ \rho_l = 1.3\cdot 1\ \frac{kg}{L} = 1.3\ \frac{kg}{L}

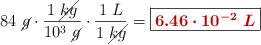
Conviertes la masa de líquido en kg para poder usar la densidad del líquido como factor de conversión y calcular el volumen:

84\ \cancel{g}\cdot \frac{1\ \cancel{kg}}{10^3\ \cancel{g}}\cdot \frac{1\ L}{1\ \cancel{kg}} = \fbox{\color[RGB]{192,0,0}{\bm{6.46\cdot 10^{-2}\ L}}}