Masa de magnesio que se deposita en el cátodo tras pasar una corriente (5257)

, por F_y_Q

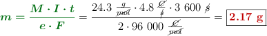
¿Cuántos gramos de magnesio serán depositados en el cátodo por una corriente de 4.8 A al pasar por una solución de sulfato de magnesio durante una hora?

P.-S.

Aplicando la ley de Faraday para calcular la masa que se deposita:

{\color[RGB]{2,112,20}{\bm{m = \frac{M\cdot I\cdot t}{e\cdot F}}}} = \frac{24.3\ \frac{g}{\cancel{mol}}\cdot 4.8\ \frac{\cancel{C}}{\cancel{s}}\cdot 3\ 600\ \cancel{s}}{2\cdot 96\ 000\ \frac{\cancel{C}}{\cancel{mol}}} = \fbox{\color[RGB]{192,0,0}{\bf 2.17\ g}}