Molaridad de una solución de NaCl a partir de la masa de soluto y volumen de solución (5428)

, por F_y_Q

¿Cuál es la concentración molar (M) de una solución acuosa con un volumen final de 100 mL a la que se le agregaron 70.2 g de NaCl? (Masa molar del NaOH = 58.5 g/mol).

P.-S.

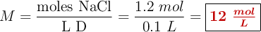
El volumen de la disolución, expresado en litros, es 0.1 L. Necesitas convertir la masa de soluto en moles para poder hacer la molaridad:

70.2\ \cancel{g}\ NaCl\cdot \frac{1\ mol}{58.5\ \cancel{g}} = \color[RGB]{0,112,192}{\bf 1.2\ mol\ NaCl}

La molaridad es:

M = \frac{\text{moles\ NaCl}}{\text{L\ D}} = \frac{1.2\ mol}{0.1\ L} = \fbox{\color[RGB]{192,0,0}{\bm{12\ \frac{mol}{L}}}}