Calor necesario para elevar la temperatura de un volumen de sangre (5255)

, por F_y_Q

Sabiendo que el calor específico de la sangre arterial es 0.906\ cal\cdot (g\cdot ^oC)^{-1}, calcula el calor necesario para elevar 2\ ^oC la temperatura de 3 L de sangre arterial si su densidad es de 1.05\ g\cdot cm^{-3}.

P.-S.

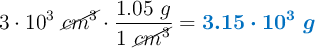
En primer lugar, calculas la masa de los 3 L de sangre a partir de la densidad. Para ello, debes expresar el volumen en cm^3, recordando que un litro son mil centímetros cúbicos:

3\cdot 10^3\ \cancel{cm^3}\cdot \frac{1.05\ g}{1\ \cancel{cm^3}} = \color[RGB]{0,112,192}{\bm{3.15\cdot 10^3\ g}}

El calor necesario para elevar la temperatura los dos grados es:

Q = m\cdot c_e\cdot \Delta T = 3.15\cdot 10^3\ \cancel{g}\cdot 0.906\frac{cal}{\cancel{g}\cdot \cancel{^oC}}\cdot 2\ \cancel{^oC} =\fbox{\color[RGB]{192,0,0}{\bm{5.71\cdot 10^3\ cal}}}