Masa de sustancia necesaria para preparar 1,5 L de disolución 0,5 molar

, por F_y_Q

¿Cuántos gramos de soluto se han utilizado para preparar 1 500 mL de una solución 0,5 M de ácido nítrico?

P.-S.

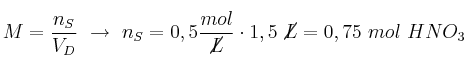
Sabemos que la molaridad es el cociente entre los moles de ácido y el volumen de disolución, pero expresado en litros. A partir de esta relación podemos calcular cuántos moles de soluto son necesarios y luego convertirlos en masa:
M = \frac{n_S}{V_D}\ \to\ n_S = 0,5\frac{mol}{\cancel{L}}\cdot 1,5\ \cancel{L} = 0,75\ mol\ HNO_3
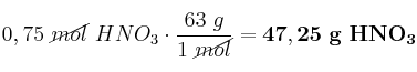
La masa molecular del ácido es:
HNO_3:\ 1\cdot 1 + 1\cdot 14 + 3\cdot 16 = 63\ \textstyle{g\over mol}
La masa de ácido será:

0,75\ \cancel{mol}\ HNO_3\cdot \frac{63\ g}{1\ \cancel{mol}} = \bf 47,25\ g\ HNO_3