Presión final para reducir a la mitad el volumen de un gas a temperatura constante (5717)

, por F_y_Q

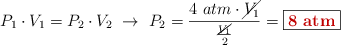
Un gas a temperatura constante, ocupa un volumen de 5 galones si la presión adquirida por el recipiente alcanza las 4 atm. Si su volumen se reduce a la mitad, ¿cuál sería la presión a la que estará sometido el gas?

P.-S.

Al ser un sistema gaseoso cerrado, a temperatura constante, aplicas la ley de Boyle para resolverlo. No es necesario hacer cambio de unidades alguno como podrás ver:

P_1\cdot V_1 = P_2\cdot V_2\ \to\ P_2 = \frac{4\ atm\cdot \cancel{V_1}}{\frac{\cancel{V_1}}{2}} = \fbox{\color[RGB]{192,0,0}{\bf 8\ atm}}