pH final de una mezcla de disoluciones de HCl y NH3 (5471)

, por F_y_Q

¿Qué pH tendrá una disolución de 20.0 mL de HCl de concentración 0.5 M a la que se le añaden 60.0 mL de \ce{NH_3(ac)} de 0.5 M de concentración?

Dato: \ce{K_b(NH3)}=1.8\cdot 10^{-5}

P.-S.

Dado que el amoniaco es una base débil, es necesario conocer el grado de disociación de la base para poder calcular los moles de [\ce{OH-}] que aporta a la neutralización del ácido. Los moles de protones que el ácido aporta son:

20\ \cancel{mL}\cdot \frac{0.5\ mol}{10^3\ \cancel{mL}} = \color[RGB]{0,112,192}{\bm{10^{-2}}}\ \color[RGB]{0,112,192}{\textbf{mol\ \ce{H+}}}

Para el amoniaco tendrías que la constante de basicidad, escrita en función del grado de disociación es:

K_b = \frac{[\ce{NH4+}][\ce{OH-}]}{[\ce{NH3}]}  = \frac{c_0\cancel{^2}\cdot \alpha^2}{\cancel{c_0}(1-\alpha)} = \color[RGB]{2,112,20}{\bm{\frac{c_0\cdot \alpha^2}{(1-\alpha)}}}

Como el valor de \ce{K _b} es pequeño, supones que \alpha es mucho menor que uno y haces la aproximación \cancelto{1}{(1 - \alpha)}:

K_b  = c_0\alpha^2\ \to\ \alpha = \sqrt{\frac{K_b}{c_0}} = \sqrt{\frac{1.8\cdot 10^{-5}}{0.5}} = \color[RGB]{0,112,192}{\bf 6\cdot 10^{-3}}

(La aproximación que has hecho, es buena por lo tanto).

La concentración de [\ce{OH-}] en el equilibrio será:

[\ce{OH-}]  = 0.5\ M\cdot 6\cdot 10^{-3} = \color[RGB]{0,112,192}{\bm{3\cdot 10^{-3}\ M}}

Los moles de \ce{OH-} que aporta el amoniaco son:

60\ \cancel{mL}\cdot \frac{3\cdot 10^{-3}\ mol}{10^3\ \cancel{mL}}  = \color[RGB]{0,112,192}{\bm{1.8\cdot 10^{-4}}}\ \color[RGB]{0,112,192}{\textbf{mol \ce{OH-}}}

Al haber más protones que hidroxilos en disolución, el resultado será una disolución ácida de la que tienes que conocer su concentración molar para poder calcular el pH. Quedarán sin neutralizar:

n_{\ce{H+}} = (10^{-2} - 1.8\cdot 10^{-4})  = \color[RGB]{0,112,192}{\bm{9.82\cdot 10^{-3}\ mol}}

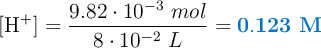
La concentración molar la obtienes considerando que los volúmenes mezclados son aditivos y el volumen final son 80 mL:

[\ce{H+}] = \frac{9.82\cdot 10^{-3}\ mol}{8\cdot 10^{-2}\ L}  = \color[RGB]{0,112,192}{\bf 0.123\ M}

El pH de la disolución final será:

pH = -log\ [\ce{H+}] = -log\ 0.123 = \fbox{\color[RGB]{192,0,0}{\bf 0.91}}