Tiempo de caída y altura desde la que cae una pelota libremente

, por F_y_Q

Fabián se encuentra en el quinto piso y su amigo Mario en el octavo piso de un edificio. Mario deja caer una pelota y, cuando llega a donde está Fabián, pasa con una velocidad de 4 m/s, llegando al suelo con una velocidad de 25 m/s.

a) ¿Qué tiempo tarda en llegar la pelota al suelo?

b) ¿A qué altura se encuetra Fabián del suelo?

P.-S.

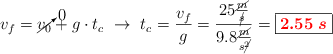
a) Como conocemos las velocidades final e inicial de la pelota, así como la aceleración a la que está sometida la pelota, podemos calcular el tiempo de caída fácilmente:

v_f = \cancelto{0}{v_0} + g\cdot t_c\ \to\ t_c = \frac{v_f}{g} = \frac{25\frac{\cancel{m}}{\cancel{s}}}{9.8\frac{\cancel{m}}{s\cancel{^2}}} = \fbox{\color{red}{\bm{2.55\ s}}}


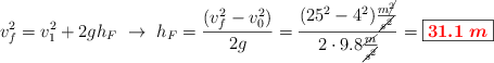
b) La altura a la que se encuentra Fabián la encontramos a partir de la velocidad con la que pasa la pelota por su posición y la velocidad final:

v_f^2 = v_1^2 + 2gh_F\ \to\ h_F = \frac{(v_f^2 - v_0^2)}{2g} = \frac{(25^2 - 4^2)\frac{m\cancel{^2}}{\cancel{s^2}}}{2\cdot 9.8\frac{\cancel{m}}{\cancel{s^2}}} = \fbox{\color{red}{\bm{31.1\ m}}}