Presión parcial de dos de los tres gases que componen una mezcla

, por F_y_Q

En un recipiente rígido de 30\ dm^3 se colocan 25 g de etano, 1,8\cdot 10^{23} moléculas de metano y otro gas, siendo la temperatura 320^oC y la presión 3 atm. Calcula las presiones parciales del etano y del otro gas en la mezcla.

P.-S.

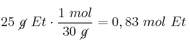
En primer lugar necesitamos expresar las cantidades de cada gas en mol:
25\ \cancel{g}\ Et\cdot \frac{1\ mol}{30\ \cancel{g}} = 0,83\ mol\ Et
1,8\cdot 10^{23}\ \cancel{mol\acute{e}c}\ Met\cdot \frac{1\ mol}{6,022\cdot 10^{23}\ \cancel{mol\acute{e}c}} = 0,30\ mol\ Met
Ahora podemos calcular los moles gaseosos totales en la mezcla a partir de los datos de presión, volumen y temperatura:
PV = nRT\ \to\ n_T = \frac{PV}{RT} = \frac{3\ \cancel{atm}\cdot 30\ \cancel{L}}{0,082\frac{\cancel{atm}\cdot \cancel{L}}{\cancel{K}\cdot mol}\cdot 593\ \cancel{K}} = 1,85\ mol
La presión parcial del etano se puede obtener a partir de la fracción molar del etano, que es el cociente entre los moles de este gas y los moles totales:

p_{Et} = x_{Et}\cdot P_T = \frac{0,83\ \cancel{mol}}{1,85\ \cancel{mol}}\cdot 3\ atm = \bf 1,35\ atm


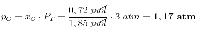
Los moles del otro gas son:
n_G = (1,85 - 0,83 - 0,30)\ mol = 0,72\ mol
También podemos calcular su presión parcial del mismo modo que hemos hecho con el etano:

p_{G} = x_{G}\cdot P_T = \frac{0,72\ \cancel{mol}}{1,85\ \cancel{mol}}\cdot 3\ atm = \bf 1,17\ atm