Velocidad que adquiere un cuerpo sobre el que actúa una fuerza y se desplaza 3 m

, por F_y_Q

¿Qué velocidad adquiere un cuerpo de 3 kg de masa, inicialmente en reposo, al que se aplica una fuerza constante de 52 N para desplazarlo tres metros sobre una superficie horizontal, si la fuerza tiene la misma dirección y el mismo sentido que el desplazamiento?

P.-S.

Primero calculamos la aceleración a la que está sometido el cuerpo por acción de la fuerza:
F = m\cdot a\ \to\ a = \frac{F}{m} = \frac{52\ N}{3\ kg} = 17,33\ \frac{m}{s^2}
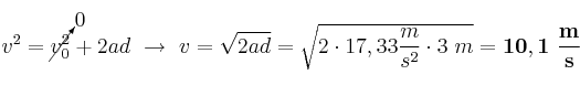
El movimiento que adquiere es acelerado y por eso debemos usar las ecuaciones del MRUA:

v^2 = \cancelto{0}{v_0^2} + 2ad\ \to\ v = \sqrt{2ad} = \sqrt{2\cdot 17,33\frac{m}{s^2}\cdot 3\ m} = \bf 10,1\ \frac{m}{s}