Distancia y tiempo de frenado de un fórmula 1 que frena con 6g de aceleración (5244)

, por F_y_Q

Un coche de fórmula 1 alcanza los 350 km/h y llega a frenar con una aceleración de «6g», es decir, 6 veces la aceleración de la gravedad.

a) ¿Cuánto tiempo tardará en frenar completamente?

b) ¿Qué distancia necesitará para frenar?

c) ¿Qué opinas sobre la distancia?

d) ¿Qué fuerza interviene en la frenada sabiendo que su peso es de 700 kg?

Representa vectorialmente el peso, la fuerza normal y la fuerza de rozamiento.

P.-S.

En primer lugar, conviertes la velocidad a unidades SI:

350\ \frac{\cancel{km}}{\cancel{h}}\cdot \frac{10^3\ m}{1\ \cancel{km}}\cdot \frac{1\ \cancel{h}}{3.6\cdot 10^3\ s} = \color[RGB]{0,112,192}{\bm{97.22\ \frac{m}{s}}}

a) La velocidad final será cero cuando se detenga:

\cancelto{0}{v} = v_0 - at\ \to\ {\color[RGB]{2,112,20}{\bm{t = \frac{v_0}{a}}}} = \frac{97.22\ \frac{\cancel{m}}{\cancel{s}}}{6\cdot 9.8\ \frac{\cancel{m}}{s\cancel{^2}}} = \fbox{\color[RGB]{192,0,0}{\bf 1.65\ s}}


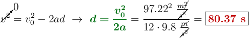
b) La distancia la calculas a partir de la expresión que no depende del tiempo:

\cancelto{0}{v^2} = v_0^2 - 2ad\ \to\ {\color[RGB]{2,112,20}{\bm{d = \frac{v_0^2}{2a}}}} = \frac{97.22^2\ \frac{m\cancel{^2}}{\cancel{s^2}}}{12\cdot 9.8\ \frac{\cancel{m}}{\cancel{s^2}}} = \fbox{\color[RGB]{192,0,0}{\bf 80.37\ s}}


c) Teniendo en cuenta la velocidad con la que se movía antes de la frenada, la distancia de frenado es muy pequeña debido a la gran aceleración de frenado.

d) La fuerza de frenada, a partir de la segunda ley de Newton es:

F = m\cdot a = 700\ kg\cdot (6\cdot 9.8)\ \frac{m}{s^2} = \fbox{\color[RGB]{192,0,0}{\bf 41\ 160\ N}}