Masa y volumen de disolución que contiene una masa de soluto dada

, por F_y_Q

Una disolución acusosa de carbonato de sodio tiene una densidad de 1,15 g/mL y una concentración del 14\% (m/m). Calcula:

a) ¿Qué masa y qué volumen de dicha disolución se debe evaporar hasta sequedad para obtener 20 g de carbonato de sodio?

b) ¿Cuál es la fracción molar de carbonato de calcio en la disolución?

Masas atómicas: Ca = 40 ; C = 12 ; O = 16.

P.-S.

a) Si queremos 20 g de soluto cuando se evapore todo el disolvente (agua) consideramos el dato del porcentaje en masa para saber la masa de disolución (D):

20\ \cancel{g\ CaCO_3}\cdot \frac{100\ g\ D}{14\ \cancel{g\ CaCO_3}} = \bf 142,86\ \g\ D


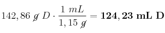
Considerando la densidad de la disolución podemos obtener el volumen de la misma:

142,86\ \cancel{g}\ D\cdot \frac{1\ mL}{1,15\ \cancel{g}} = \bf 124,23\ mL\ D


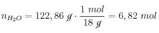
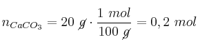
b) La masa de soluto que está contenida en la masa de disolución son los 20 g que hemos considerado. La masa de agua será la diferencia entre ambas: (142,86 - 20) g = 122,86 g agua. Calculamos los moles de soluto y disolvente:
n_{CaCO_3} = 20\ \cancel{g}\cdot \frac{1\ mol}{100\ \cancel{g}} = 0,2\ mol
n_{H_2O} = 122,86\ \cancel{g}\cdot \frac{1\ mol}{18\ \cancel{g}} = 6,82\ mol
La fracción molar de soluto es:

x_{CaCO_3} = \frac{n_{CaCO_3}}{(n_{CaCO_3} + n_{H_2O})} = \frac{0,2\ \cancel{mol}}{7,02\ \cancel{mol}} = \bf 2,85\cdot 10^{-2}