Aceleración y tiempo de frenado de un auto

, por F_y_Q

Un auto debe frenar de 100 km/h a 0 km/h en 70 m. ¿Cuál es su aceleración? ¿En cuánto tiempo se detiene?

P.-S.

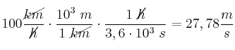
La velocidad inicial del auto, expresada en m/s es:
100\frac{\cancel{km}}{\cancel{h}}\cdot \frac{10^3\ m}{1\ \cancel{km}}\cdot \frac{1\ \cancel{h}}{3,6\cdot 10^3\ s} = 27,78\frac{m}{s}
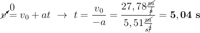
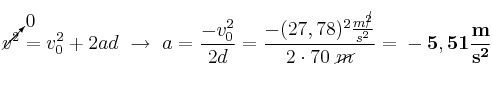
La aceleración será:

\cancelto{0}{v^2} = v_0^2 + 2ad\ \to\ a = \frac{-v_0^2}{2d} = \frac{-(27,78)^2\frac{m^\cancel{2}}{s^2}}{2\cdot 70\ \cancel{m}} = \bf -5,51\frac{m}{s^2}


El tiempo necesario para detenerse es:

\cancelto{0}{v} = v_0 + at\ \to\ t = \frac{v_0}{-a} = \frac{27,78\frac{\cancel{m}}{\cancel{s}}}{5,51\frac{\cancel{m}}{s^\cancel{2}}}} = \bf 5,04\ s