Tiempo que tarda en detenerse un vehículo con MRU y MRUA

, por F_y_Q

Un auto viaja en línea recta con una velocidad de 25 m/s. En el momento en que el auto lleva 40 m recorridos, la conductora aplica los frenos de manera que el vehículo fren con aceleración igual a -2\ m/s^2. ¿Cuánto tiempo tarda el auto en detenerse?

P.-S.

El ejercicio contiene dos tipos de movimientos a considerar; un primer tramo de MRU y un segundo tramo de MRUA.
Tramo de velocidad constante.
El tiempo que transcurre hasta que completa los 40 m es:
v = \frac{d}{t_1}\ \to\ t_1 = \frac{d}{v} = \frac{40\ \cancel{m}}{25\frac{\cancel{m}}{s}} = 1,6\ s
Tramo con aceleración constante.
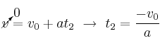
Consideramos que la velocidad final es cero:
\cancelto{0}{v} = v_0 + at_2\ \to\ t_2 = \frac{-v_0}{a}
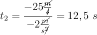
t_2 = \frac{-25\frac{\cancel{m}}{\cancel{s}}}{-2\frac{\cancel{m}}{s\cancel{^2}}}} = 12,5\ s
El tiempo total que transcurre hasta detenerse es:

t_T = t_1 + t_2 = (1,6 + 12,5)\ s = \bf 14,1\ s