Velocidad con la que impactan unas llaves contra la cabeza de una chica (5480)

, por F_y_Q

Clara vive en el cuarto piso de un edificio, a unos 1 250 cm del suelo, y tiene por costumbre, en vez de bajar a abrir, tirar las llaves desde su ventana cuando alguien la visita.

Su amiga, que mide 160 cm, va a visitarla y Clara le arroja las llaves con una velocidad de 5 m/s. Como su amiga es muy distraída, en vez de agarrarlas las llaves golpean su cabeza. ¿Con qué velocidad golpean las llaves la cabeza de la amiga?

P.-S.

Debes expresar las alturas en metros, para que las unidades del ejercicio sean homogéneas.

Aplicas el teorema de la conservación de la energía mecánica al sistema, pero suponiendo nulo el rozamiento de las llaves con el aire:

E_M(i)  = E_M(f)\ \to\ \color[RGB]{2,112,20}{\bm{E_C(i) + E_P(i)  = E_C(f) + E_P(f)}}

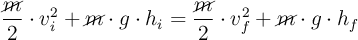
Si escribes cada energía en función de la posición y la velocidad:

\frac{\cancel{m}}{2}\cdot v_i^2 + \cancel{m}\cdot g\cdot h_i = \frac{\cancel{m}}{2}\cdot v_f^2 + \cancel{m}\cdot g\cdot h_f

La masa de las llaves, como ves, no es un dato necesario para resolver el ejercicio. Despejas el valor de la velocidad final en la ecuación anterior:

\frac{v_i^2}{2} + g(h_i - h_f)  = \frac{v_f^2}{2}\ \to\ \color[RGB]{2,112,20}{\bm{v_f = \sqrt{v_i^2 + 2g(h_i - h_f)}}}

En este último paso, sustituyes los datos del enunciado en las unidades correctas:

v_f = \sqrt{5^2\ \frac{m^2}{s^2} + 2\cdot 9.8\ \frac{m}{s^2}\cdot (12.5 - 1.6)\ m} = \fbox{\color[RGB]{192,0,0}{\bm{15.45\ m\cdot s^{-1}}}}