Velocidad final de un sistema al que se le aplica una fuerza

, por F_y_Q

Se imprime una fuerza de 3 kilodinas a un sistema con 25 kg de masa. ¿Cuál será su velocidad final tras cinco segundo, si parte del reposo?

P.-S.

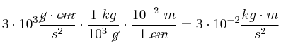
En primer lugar hemos de convertir el dato de la fuerza aplicada a unidad SI:
3\cdot 10^3\frac{\cancel{g}\cdot \cancel{cm}}{s^2}\cdot \frac{1\ kg}{10^3\ \cancel{g}}\cdot \frac{10^{-2}\ m}{1\ \cancel{cm}} = 3\cdot 10^{-2}\frac{kg\cdot m}{s^2}
Ahora calculamos la aceleración que adquiere el sistema a partir de la segunda ley de la Dinámica:
F = m\cdot a\ \to\ a = \frac{F}{m} = \frac{3\cdot 10^{-2}\ \cancel{kg}\cdot m\cdot s^{-2}}{25\ \cancel{kg}} = 1,2\cdot 10^{-3}\frac{m}{s^2}
La velocidad tras los cinco segundos será:

v = \cancelto{0}{v_0} + at\ \to\ v = 1,2\cdot 10^{-3}\frac{m}{s^\cancel{2}}}\cdot 5\ \cancel{s} = \bf 6\cdot 10^{-3}\frac{m}{s}