Ampliación: volumen de hielo con la misma masa que un pie cúbico de oro

, por F_y_Q

¿Qué volumen de hielo tendrá el mismo peso que un pie cúbico de oro?

Datos: \rho_{Au} = 19,3\ \textstyle{kg\over L} ; \rho_{h} = 0,92\ \textstyle{kg\over L} ; 1\ ft^3 = 28,32\ L

P.-S.

Las masas de hielo y oro han de ser iguales porque es la condición que impone el enunciado. La masa de oro la podemos escribir en función de la densidad y el volumen de oro:
\rho_{Au} = \frac{m_{Au}}{V_{Au}}\ \to\ m_{Au} = \rho_{Au}\cdot V_{Au}
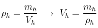
Expresamos el volumen de hielo en función de su densidad:
\rho_h = \frac{m_h}{V_h}\ \to\ V_h = \frac{m_h}{\rho_h}
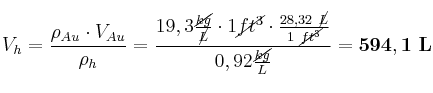
Reescribimos la ecuación con los datos referidos al oro y calculamos:

V_h = \frac{\rho_{Au}\cdot V_{Au}}{\rho_h} = \frac{19,3\frac{\cancel{kg}}{\cancel{L}}\cdot 1\cancel{ft^3}\cdot \frac{28,32\ \cancel{L}}{1\ \cancel{ft^3}}}{0,92\frac{\cancel{kg}}{L}} = \bf 594,1\ L